为深入贯彻学在交大,发挥党员榜样引领作用,12月14日,福利姬 本科学生党支部开展主题为“传递榜样力量,践行学在交大”的主题党日活动。福利姬 党委书记吴映强,党委组织员沈颖、学生党建指导老师梁晶出席,本科学生党支部的全体党员、发展对象、入党积极分子参加,活动由学生党建辅导员宋鹏程主持。

李世贸同学就平时阶段、考前冲刺以及实验类课程的学习方法进行分享交流。他指出在平时学习要珍惜与老师近距离交流的机会做好课前预习。线上的学习需要集中意力,善于营造仪式感;积极在聊天区与老师互动,课后及时查漏补缺,也可以在网站上寻找其他的学习资源加以巩固。实验课方面,他举例说明如何高效完成实验报告,并指出线上实验的注意事项。

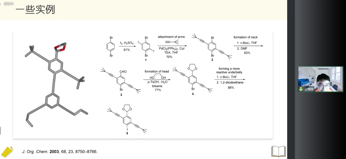
王骁翔同学具体就有机课程方面的学习进行分享,他讲述了有机化学课程的基本学习方法与思路,并推荐了系统学习有机的参考资料,便于同学们理解有机反应机理进行深入学习。他通过阐述有机化学的两大核心理论,强调在学习过程中尽量减少机械的背诵,学会类比推理。最后他以一个有趣的经典有机合成实例展示了有机化学的奇妙,激动同学们的兴趣。

“三好学生标兵”获得者张配荧同学从学习、生活、科研三个方面分享了自己的心得感悟。在学习方面要不断坚定自己的信心,见贤思齐,取长补短,互相帮助;在生活、科研方面,寻找自己合适的方向,探寻自己愿意为之奋斗的事情,在自己热爱的领域不断深耕。

学院党委书记吴映强给本科学生党支部上微党课,并对本次主题党日给予肯定同时就支部建设提出建议。
他强调要继续发挥本科学生党支部作为全国样板支部的标杆优势,有计划、有组织的开展三会一课,充分体现主题党日的政治性和庄重感,加强思想性引领,开展理论学习、主题参观等多层次、全方面的主题党日,提升党员素质、发挥党员的先锋模范作用。
他指出党员同志作为学生中的关键少数要德才兼备,以德为先,树立远大目标,并不断为之奋斗。同时提出三点希望,第一要加强学习理论知识,学深悟透党的二十大报告,做到学思用贯通、知行信合一;第二要做到勤学善思,热爱自己所学的专业,熟悉自己专业的特色和优势,打牢专业基础、形成特长。第三要注重团结互助,号召党员同志们正确的认识、看待疫情,以达观向上的心态感染带动身边的人,共同面对困难挑战,在平时生活中要发挥党员带头作用,相互帮助,服务他人。
此次活动以“学在交大”为核心搭建了各年级学生与支部优秀党员沟通交流的平台,帮助大家调整心态,更有效的准备期末考试。同时引导同学们要加强理论学习,热爱专业所学,坚定理想信念,成为有理想、敢担当、能吃苦、肯奋斗的新时代好青年。